Trong thời gian từ tháng 1 – 11/2017, chúng tôi thực hiện nghiên cứu sự ảnh hưởng của các yếu tố đầu vào đến năng suất tôm giống tại tỉnh Ninh Thuận với việc khảo sát, điều tra 30 cơ sở sản xuất tôm giống theo 3 quy mô với năng lực sản xuất (dưới 100 triệu con; 100 – 500 triệu con và trên 500 triệu con – mỗi quy mô 10 cơ sở) sẵn lòng tham gia cuộc phỏng vấn thông qua bảng câu hỏi khảo sát để thu thập số liệu thực tế về tình hình sản xuất tôm giống.

Khảo sát được lặp lại trên 3 đợt sản xuất liên tiếp; số liệu được tổng hợp và xử lý, phân tích bằng phương pháp bình phương tối thiểu (OLS). Kết quả nghiên cứu cho thấy: Năng suất tôm giống chịu ảnh hưởng và đồng biến cùng với các yếu tố đầu vào như: Quản lý các yếu tố môi trường (hệ số hồi quy 0,2303); Cấp độ quản lý an toàn sinh học (hệ số hồi quy 0,0724); Số lượng lao động (hệ số hồi quy 0,043); Kinh nghiệm sản xuất (hệ số hồi quy 0,012); Mức độ kinh phí đầu tư (hệ số hồi quy 0,0025); Thức ăn tảo tươi (hệ số hồi quy 0.00095); Thức ăn Artermia (hệ số hồi quy 0,00015). Bên cạnh đó, yếu tố trình độ kỹ thuật và mức độ liên kết tiêu thụ không ảnh hưởng lên năng suất tôm giống.
I. Mở đầu
Năm 2017, cả nước có 2.422 cơ sở sản xuất giống tôm nước lợ, trong đó, 1.861 cơ sở sản xuất giống tôm sú, 561 cơ sở sản xuất giống tôm thẻ chân trắng và sản xuất được 100 tỷ con giống. Hiện nay, các cơ sở sản xuất tôm giống chủ yếu tập trung tại 3 tỉnh Khánh Hòa, Ninh Thuận, Bình Thuận đáp ứng khoảng 65 – 80% số lượng giống tôm nước lợ cho nhu cầu thả nuôi trong cả nước. Số còn lại được sản xuất tại các tỉnh ĐBSCL (Bạc Liêu, Kiên Giang, Cà Mau) và các tỉnh phía Bắc như (Quảng Ninh, Nghệ An).
Tỉnh Ninh Thuận với nhiều yếu tố tự nhiên về thời tiết, khí hậu thuận lợi cho sản xuất giống thủy sản; được biết đến là một trung tâm sản xuất lớn nhất cả nước. Hiện nay, Ninh Thuận có 498 cơ sở sản xuất giống thủy sản, các đối tượng sản xuất giống là tôm thẻ chân trắng, tôm sú, cá bớp, ốc hương, tu hài, hàu…; trong đó, có 275 cơ sở giống tôm thẻ chân trắng và 223 cơ sở tôm sú giống là 2 đối tượng sản xuất chủ lực, hàng năm cung cấp từ 25 – 30 tỷ tôm giống. Ngành sản xuất tôm giống của tỉnh đang có nhiều tiềm năng mở rộng diện tích sản xuất khi có điều kiện tự nhiên ưu đãi với môi trường nước biển ổn định về tính chất thủy lý – thủy hóa đảm bảo môi trường ương dưỡng giống chất lượng cao cung ứng ra thị trường toàn quốc. Tuy nhiên, nghề sản xuất tôm giống chưa có một nghiên cứu, đánh giá cụ thể về công tác quản lý nguồn lực đầu vào như mức độ quản lý an toàn sinh học, mức độ quản lý môi trường nước, thức ăn Artermia, kỹ thuật sản xuất, chí phí đầu tư, lượng tảo tươi sử dụng, số lượng lao động, hợp đồng bao tiêu sản phẩm ảnh hưởng lên năng suất và hiệu quả kinh tế của cơ sở sản xuất tôm giống.
Bài báo trình bày kết quả nghiên cứu sự ảnh hưởng các yếu tố đầu vào trong sản xuất tôm giống nhằm đánh giá việc quản lý, sử dụng các yếu tố nguồn lực trong sản xuất để từ đó đề xuất các giải pháp trong việc quản lý, phân phối, sử dụng nguồn lực đó một cách hợp lý, ổn định; góp phần nâng cao hiệu quả kinh tế và xây dựng mô hình sản xuất tôm giống mang tính bền vững tại tỉnh Ninh Thuận.
II. Phương pháp
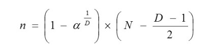
1. Phương pháp chọn cơ sở để khảo sát
Tính toán số lượng cơ sở để nghiên cứu dựa vào công thức của phương pháp thống kê với trường hợp tổng thể (N) nhỏ, xác định được và có tính đến xác suất ý nghĩa lựa chọn:

Với D: Là số cơ sở sản xuất được lựa chọn có ý nghĩa để nghiên cứu với một tỷ lệ xác định (ước đoán 5 – 10%), được tính như sau: D = Se x p x NTrong đó: Se – Độ nhạy của phương pháp (Quy ước = 1); p – Xác xuất ý nghĩa dự kiến; N – Là số tổng thể.
2. Cơ sở chọn yếu tố nghiên cứu
Chọn các yếu tố đầu vào trong sản xuất tôm giống phù hợp với 4 tiêu chí VietGAP là (i) Đảm bảo an toàn dịch bệnh; (ii) Đảm bảo an toàn môi trường; (iii) Đảm bảo an toàn xã hội; (iv) Dễ dàng truy xuất được nguồn gốc sản phẩm bao gồm 9 yếu tố như sau: Cấp độ quản lý an toàn sinh học (X1); Cấp độ quản lý các yếu tố môi trường (X2); Số năm kinh nghiệm (X3); Trình độ kỹ thuật viên (X4); Số lượng lao động (X5); Mức độ đầu tư (X6); Lượng thức ăn Artermia (X7); Lượng thức ăn tảo tươi (X8) và Mức độ liên kết tiêu thụ tôm giống (X9).
3. Phương pháp phân tích
Nghiên cứu các yếu tố ảnh hưởng đến năng suất, chất lượng tôm giống dựa trên phân tích hàm hồi quy tuyến tính đối với các biến được lựa chọn. Hàm sản xuất Cobb – Douglas được sử dụng làm mô hình toán trong ước lượng hệ số hồi quy của nghiên cứu này bằng phương pháp bình phương tối thiểu (Ordinary Least Squared – OLS); số liệu được tổng hợp và xử lý trên phần mềm Eview 8.0. Hàm hồi quy tuyến tính được viết như sau:

Trong đó: (Y: biến phụ thuộc – Năng suất; Bo: Hằng số; B1-9: Hệ số ước lượng tương ứng cho 9 yếu tố đầu vào; X1-9: biến độc lập – Các yếu tố đầu vào trong sản xuất tương ứng từ 1 đến 9; εt: Sai số ước lượng cho các yếu tố khác không có trong mô hình nghiên cứu).
III. Kết quả

Từ kết quả bảng trên, ta có 91,04% (R2 = 0,9104) các yếu tố đầu vào (các biến) đưa vào nghiên cứu trong mô hình thay đổi sẽ tác động lên năng suất tôm giống và 8,96% các yếu tố chưa đưa vào nghiên cứu vẫn có ảnh hưởng lên năng suất tôm giống (ε = 0,0896); tuy nhiên, sự ảnh hưởng của các yếu tố bên ngoài khác đến năng suất tôm giống là không lớn (B0 = – 0,0815). Ngoài ra, hầu hết các yếu tố đưa vào phân tích, hệ số hồi quy đều có cùng dấu kỳ vọng ban đầu là dấu dương, tức là các yếu tố đưa vào nghiên cứu đồng biến với năng suất tôm giống; ngoại trừ yếu tố mức độ liên kết tiêu thụ (X9) mang dấu âm; tuy nhiên, yếu tố mức độ liên kết tiêu thụ (X9) và trình độ kỹ thuật viên (X4) không có ý nghĩa thống kê (vì hệ số P_value > 0,1) trong nghiên cứu.
Với mức ý nghĩa thống kê 1% (P=0,01), các biến Cấp độ an toàn sinh học (X1), Cấp độ quản lý yếu tố môi trường nuôi (X2), Kinh nghiệm (X3), Số lao động (X5), Thức ăn (X7) và Lượng tảo tươi sử dụng (X8) có tác động lên năng suất tôm giống. Với mức ý nghĩa thống kê 5% (P=0,05), biến mức độ kinh phí đầu tư (X6) có ảnh hưởng trực tiếp lên năng suất tôm giống.
Cụ thể kết quả hồi quy 7 yếu tố còn lại trong mô hình hàm hồi quy truyến tính có mức độ ảnh hưởng lên năng suất tôm giống có sự khác nhau, thể hiện qua Phương trình hồi quy tuyến tính như sau:
LnY= – 0,0815 + 0,0724Ln (Mức độ an toàn sinh học) + 0,2303Ln (Quản lý các yếu tố môi trường) + 0,012Ln (Kinh nghiệm) + 0,043Ln (Số lao động) + 0,0025Ln (Mức độ kinh phí đầu tư) + 0,00015Ln (Thức ăn Artermia) + 0,00095Ln (Thức ăn tảo tươi).
Trong điều kiện, yếu tố nghiên cứu lần lượt thay đổi là Cấp độ an toàn sinh học, Cấp độ quản lý các yêu tố môi trường, Kinh nghiệm, Số lượng lao động, Mức độ đầu tư, Lượng thức ăn Artermia, Lượng thức ăn tảo tươi; khi 1 trong 7 yếu tố tăng lên 1% (6 yếu tố còn lại không thay đổi) thì năng suất tôm giống sẽ tăng lên tương ứng là 0,0724%; 0,2303%; 0,012%; 0,043%; 0,0025%; 0,00015% và 0,00095%.
IV. Thảo luận
Để nâng cao giải pháp quản lý, tăng hiệu quả sử dụng nguồn lực đầu vào trong sản xuất tôm giống; cơ sở sản xuất cần tập trung quản lý các yếu tố đầu vào như sau:
Một là, quản lý các yếu tố môi trường: cần nâng cao mức quản lý, tăng tần suất kiểm tra các yếu tố thủy lý – thủy hóa, mầm bệnh trong môi trường nước nuôi trước; trong quá trình sản xuất, cập nhật thường xuyên về thông tin quan trắc môi trường nước biển ven bờ để có phương án xử lý các nguồn nước cấp được đảm bảo để tôm giống phát triển tốt, đạt hiệu quả trong sản xuất.
Hai là, quản lý an toàn sinh học trong trại giống: cần nhận diện và tập trung quản lý các khâu trong sản xuất về các mối nguy cơ có thể xâm hại như mầm bệnh sinh học (vi khuẩn, virus, nguyên sinh động vật) tác động trực tiếp đến chất lượng và sản lượng của mô hình; triển khai thực hiện quy trình giám sát, quy định hướng đi an toàn sinh học, thực hiện vệ sinh khử trùng ở mỗi khu vực sản xuất, sử dụng bộ dụng cụ riêng biệt tránh lây nhiễm từ bên ngoài và trong nội bộ; xử lý triệt để các mối nguy cơ gây mất an toàn sinh học có trong môi trường nước nuôi, từ thức ăn tươi sống và thức ăn tổng hợp, từ tôm bố mẹ, ấu trùng Nauplius…
Ba là, số lượng lao động phục vụ trong sản xuất phải đảm bảo đủ số lượng (có thể từ 3 – 5 người/đợt/100 m3 hồ ương ấu trùng) nhằm thực hiện các khâu, công đoạn được chặt chẽ; có sự phân công giao nhiệm vụ từng ví trí khác nhau, phối hợp công việc nhằm tăng hiệu quả năng suất lao động.
Bốn là, kinh nghiệm sản xuất là một vấn đề cần lưu tâm, khi sử dụng nhân viên kỹ thuật chính; khi thời gian làm kỹ thuật sản xuất tôm giống càng dài (từ 12 – 15 năm), họ tích lũy nhiều kinh nghiệm xử lý về môi trường nước, các giai đoạn biến thái của ấu trùng theo từng mùa vụ trong năm và cả đánh giá chung về chất lượng ấu trùng Nauplius hay tôm bố mẹ được tốt hơn, tạo thuận lợi trong đánh giá, quản lý chăm sóc ấu trùng và xử lý kỹ thuật, xử lý sự cố xảy ra trong sản xuất.
Năm là, mức độ đầu tư trong sản xuất là chi phí lưu động gồm con giống, thức ăn, hóa chất, công lao động, khấu hao tài sản cố định, chi phí sử dụng, vận hành các trang thiết bị, chi phí nguyên nhiên vật liệu, chi phí thị trường… Nâng cao mức độ đầu tư thông qua nâng cao chất lượng nguồn đầu vào, hoặc sử dụng các trang thiết bị hiện đại trong lọc, xử lý nước nuôi nhằm cải thiện chất lượng nguồn đầu vào và quản lý môi trường tốt hơn, đảm bảo sản xuất tôm giống ổn định mang lại hiệu quả sản xuất.
Sáu là, thức ăn tảo tươi đang rất thông dụng trong sản xuất tôm giống là tảo Thalasiosira sp và Chaetoceros sp có giá trị dinh dưỡng cao, các thành phần sinh hóa rất cần thiết cho động vật thủy sản sinh trưởng, phát triển, ngoài các chất dinh dưỡng như protein, lipid, cacbonhydrat, nhiều enzym tiêu hóa, trong tảo này còn chứa các axít béo không no mạch dài với hàm lượng cao như HUFA, PUFA… Lượng tảo tươi sử dụng cho ấu trùng tôm ăn đúng liều lượng (từ 1.700 – 2.000 lít/100 m3 hồ ương ấu trùng/đợt) và đúng giai đoạn từ cuối giai đoạn Nauplius đến đầu Mysis tạo thuận lợi cho sự phát triển của tôm giống, mang lại chất lượng cao.
Cuối cùng, thức ăn Artemia là nguồn thức ăn rất giàu dinh dưỡng về acid béo không no (HUFA), dễ tiêu hóa; khả năng tiêu thụ các chất dinh dưỡng lơ lửng trong nước của Artemia còn giúp chuyển hóa các chất dinh dưỡng đặc biệt cho ấu trùng tôm giống; số lượng Artermia sử dụng càng đúng liều lượng (từ 17.000 – 19.000 g/100 m3 hồ ương ấu trùng/đợt) thì tôm càng đủ dưỡng chất để sinh trưởng phát triển, mang lại năng suất tôm giống cao hơn.
Lời cảm ơn:
Chúng tôi xin cảm ơn ThS Huỳnh Minh Khánh, CN Thân Trọng Thủy Tiên, chủ nhiệm đề tài “Nghiên cứu đánh giá thực trạng nghề sản xuất tôm giống Ninh Thuận, đề xuất mô hình cơ sở sản xuất giống an toàn, chất lượng theo hướng VietGAP, hướng đến mục tiêu trở thành trung tâm sản xuất tôm giống chất lượng cao của cả nước” đã cho phép sử dụng số liệu thực hiện chuyên đề này.
Tài liệu tham khảo
1. Hoàng Quang Thành, Nguyễn Ðình Phúc, 2012. Các yếu tố ảnh hưởng đến năng suất tôm nuôi ở huyện Tuy Phước, tỉnh Bình Định. Tạp chí Khoa học Đại học Huế,72B, (3), 317 -324.
2. Lê Xuân Sinh, Nguyễn Tiến Diệt và Nguyễn Rube, 2011. Cung cấp và sử dụng giống tôm sú ở các tỉnh ĐBSCL. Tạp Chí Khoa học Trường Đại học Cần Thơ, 71 – 80.
3. M. H. A. Rashid John-ren Chen, 2002. Technical Efficiency of Shrimp farmers in Bangladesh: A Stochastic frontier Production Function Analysis. The Bangladesh Journal of Agricultural Economics, 2, 15 – 31.
4. Nguyễn Thanh Phương, Huỳnh Hàn Châu và Châu Tài Tảo, 2006. Tình hình sản xuất giống tôm sú ở tỉnh Cà Mau và TP Cần Thơ. Tạp chí Khoa học, Trường Đại học Cần Thơ, 178 – 186.
5. Pawan Ganapati Patil, 2014. Modelling and Measuring the Efficiency of the Brackishwater Shrimp Aquaculture Sector & Its Socio-economic and Environmental Impacts on Rural Producers in Nellore District, India. Doctor Thesis, London School of Economics & Political Science, England.
6. Vũ Đình Thắng (2013), Giáo trình kinh tế nông nghiệp, NXB Đại học Kinh tế Quốc dân.